USP Betadex Sulfobutyl Ether Sodium - hjælpestofopløsningen til at øge opløseligheden, stabiliteten og biotilgængeligheden af dine lægemiddelformuleringer.
CAS-nr.: 182410-00-0
Kategori: Farmaceutisk hjælpestof
Funktion: Solubiliseringsmiddel/kompleksdannere/biotilgængelighedsforstærker
Opløselighed: Frit opløselig i vand
Anvendelse: Injicerbare formuleringer; Dårligt opløselige API'er; Lægemiddelstabilisering og lugtmaskering.
MOQ: 1 kg
OEM/ODM: Tilgængelig
Hvad er Betadex Sulfobutyl Ether Sodium?
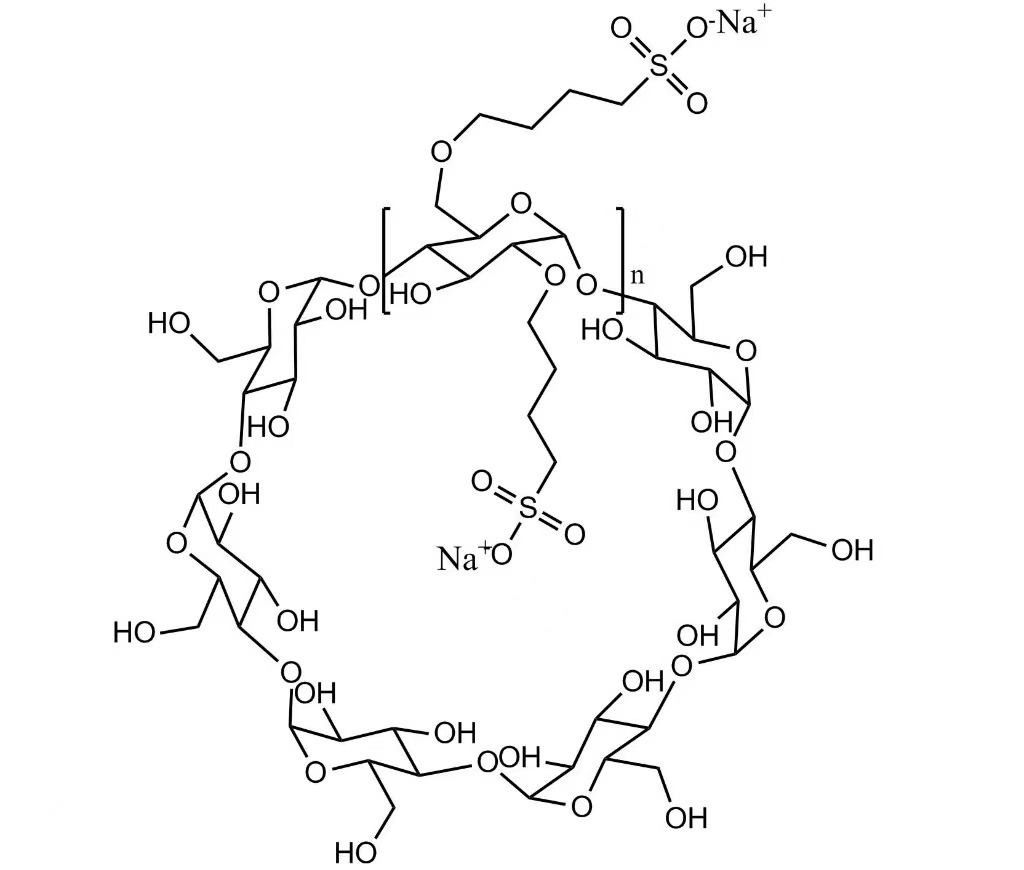
USP Betadex Sulfobutyl Ether Sodium (SBECD) er et cyclodextrinderivat, et vandopløseligt hjælpestof med høj renhed, specielt designet til injicerbare og parenterale farmaceutiske formuleringer. Det øger opløseligheden, stabiliteten og biotilgængeligheden af dårligt vandopløselige aktive farmaceutiske ingredienser (API'er) ved at danne stabile inklusionskomplekser, hvilket sikrer pålidelig lægemiddellevering og ensartet terapeutisk ydeevne.
SBECD er velegnet til intravenøse, intramuskulære og subkutane formuleringer, forhindrer udfældning, reducerer kemisk nedbrydning og opretholder stabiliteten af følsomme API'er. Den er også ideel til oftalmiske opløsninger, næsespray og andre flydende formuleringer, der kræver øget opløselighed og stabilitet. Dens høje vandopløselighed, lave toksicitet og fremragende biokompatibilitet gør det til et foretrukket hjælpestof til forskning, klinisk udvikling og kommercielle injicerbare produkter.
Anvendelser og typiske anvendelser
Ansøgninger:
USP Betadex Sulfobutyl Ether Sodium (SBECD) bruges i vid udstrækning som et farmaceutisk hjælpestof til at forbedre opløseligheden, stabiliteten og biotilgængeligheden af dårligt vandopløselige lægemidler. Det er velegnet til injicerbare formuleringer, herunder intravenøse, intramuskulære og subkutane injektioner, såvel som oftalmiske opløsninger, næsespray og andre flydende formuleringer. SBECD kan forhindre udfældning, reducere kemisk nedbrydning og forbedre stabiliteten af følsomme API'er, hvilket gør den ideel til R&D, klinisk udvikling og kommercielle farmaceutiske produkter.
Typiske lægemiddelprodukter, der bruger SBECD:
Betadex Sulfobutyl Ether Natrium SBECD 182410-00-0Specifikation
Produktnavn
Betadex Sulfobutyl Ether Natrium
Andet navn
Sulfobutylether β-cyclodextrinnatriumsalt
Specifikation
USP/EP/JP/ChP
Kategori
Farmaceutisk hjælpestof
Opbevaringstid
36 måneder
MOQ
1 kg
Leveringstid
3-5 hverdage
Pakke
500 g/pose; 1 kg/pose; 10 kg/fiber drum
Betadex Sulfobutyl Ether Natrium SBECDCOA

Hvorfor vælge os?
Xi'an Deli Biochemical Industry Co., Ltd. blev etableret i 1999 og er en professionel producent med speciale i cyclodextrin farmaceutiske hjælpestoffer. Med mere end 25 års kontinuerlig udvikling har vi opbygget solid teknisk ekspertise og et stabilt produktionssystem fokuseret på cyclodextrinderivater af høj kvalitet.
Vores kerneprodukter omfatter Hydroxypropyl Betadex (HPβCD) og Betadex Sulfobutyl Ether Sodium (SBE-β-CD), som er meget udbredt i farmaceutiske, veterinære og kemiske formuleringer til solubilisering, stabilisering, lugtmaskering og biotilgængelighedsforøgelse af dårligt opløselige aktive ingredienser. Vi sikrer ensartet batch-til-batch-renhed, pålidelig ydeevne og teknisk support til globale farmaceutiske, veterinære og kosmetiske markeder. Detaljerede tekniske data, analysecertifikater (COA) og prøveevaluering er tilgængelige for at lette formuleringsudvikling og optimere produktets ydeevne.
• Over 25 års produktionserfaring i cyclodextrinderivater
• Stabil produktionskapacitet med batchstørrelser på 2-3 tons
• Årlig produktion op til 200 tons, hvilket sikrer pålidelig forsyning
• Fokuserede produkter: Hydroxypropyl Betadex og Betadex Sulfobutyl Ether Natrium
• USP / EP / JP / ChP-kompatibel, velegnet til globale farmaceutiske markeder
• Ensartet kvalitet med streng batch-til-batch kontrol
• Fleksibel forsyning, MOQ fra 1 kg, understøtter R&D til kommerciel produktion
Vi er forpligtet til at levere stabil kvalitet, pålidelig forsyning og professionel support til vores globale partnere.
R&D & teknisk styrke
Xi'an Deli Biochemical Industry Co., Ltd. har et internt R&D-team og komplet produktionssystem, der opererer under en selvfremstillings- og direkte salgsmodel. Vores team fokuserer på hjælpestofinnovation og formuleringsstøtte for at imødekomme forskellige kundebehov.
Alt produktionspersonale modtager GMP-træning, og vores laboratorium er udstyret med avancerede instrumenter såsom HPLC, GC, HPCE, IR, polarimeter, pH-meter, ledningsevnemåler og fugtanalysator, hvilket sikrer pålidelig test og ensartet produktkvalitet.
Kvalitetsafdelingen arbejder tæt sammen med materialer og produktion for at revidere leverandører, opbevare prøver og udføre stabilitetsundersøgelser og opretholde hjælpestoffer af høj kvalitet fra R&D til markedsudgivelse.
Nedenfor kan du se billeder af vores team på internationale udstillinger og vores certificeringsdokumenter, der fremhæver vores tekniske styrke og brancheanerkendelse.
FAQ
1. Har du fabrik?
Ja, vi er fabrikken med 26 års erfaring, velkommen til at besøge vores fabrik. Når du har detaljeret tidsplan, bedes du venligst give mig besked på forhånd.
2. Har du ISO og DMF?
Ja, vi har opnået ISO9001, DMF, Halal-certifikat og så videre.
3. Hvad er din leveringstid?
Som sædvanlig er vores leveringstid omkring 1 ~ 3 arbejdsdage efter modtagelse af betalinger, men for nogle specielle produkter bedes du venligst bekræfte med din salgschef på forhånd.
4. Hvordan kan du bekræfte din kvalitet?
Hvert parti af varerne kan sendes til dig efter streng inspektion, hvis du stadig er i tvivl, kan vi arrangere Pre-shipment prøverne til din test eller til din spidse tredjepart til gentest på forhånd, med succes, så vil vi arrangere bulkgodset til dig med det samme.
5. Hvad er din produktionskapacitet?
Vores batchproduktionskapacitet er 2,5 tons, og den årlige produktion er 200 tons.
Sulfobutyl Ether Beta Cyclodextrin Pulver Injicerbar Farmaceutisk Hjælpestof
Betadex Sulfobutyl Ether Sodium CAS NO 182410-00-0
Sulfobutyl Ether Beta Cyclodextrin Natrium
Betadex Sulfobutyl Ether Sodium Injection Grade
Betadex Sulfobutyl Ether Sodium SBECD injicerbar kvalitet til lægemiddelformuleringer
Betadex Sulfobutyl Ether Natrium CAS 182410-00-0