DELI er Sulfobutyl beta cyclodextrin 182410-00-0 producent. Vores produkt DMF nummer er 034773. Virksomhedens ledelsessystem har bestået ISO 9001:2015 certificering.

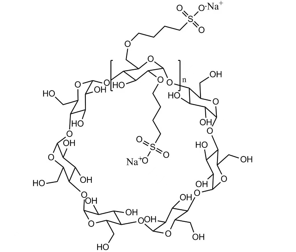
Sulfobutyl beta cyclodextrin 182410-00-0 er et højrent anionisk cyclodextrinderivat med fremragende vandopløselighed. Som en kemisk modificeret beta-cyclodextrin anvendes Sulfobutyl beta-cyclodextrin 182410-00-0 i vid udstrækning som et farmaceutisk hjælpestof til at forbedre formuleringsevnen af dårligt opløselige aktive farmaceutiske ingredienser.
Sulfobutyl beta cyclodextrin 182410-00-0 danner stabile ikke-kovalente inklusionskomplekser med lægemiddelmolekyler, især nitrogenholdige forbindelser. Gennem molekylær indkapsling øger Sulfobutyl beta-cyclodextrin 182410-00-0 væsentligt lægemiddelopløselighed, stabilitet og biotilgængelighed, samtidig med at formuleringssikkerheden forbedres.
I farmaceutiske applikationer hjælper Sulfobutyl beta-cyclodextrin 182410-00-0 med at reducere nyretoksicitet, minimere hæmolyse, kontrollere lægemiddelfrigivelseshastigheder og maskere ubehagelige lugte. Disse fordele gør Sulfobutyl beta cyclodextrin 182410-00-0 særligt velegnet til følsomme doseringsformer.
Sulfobutyl beta cyclodextrin 182410-00-0 fungerer effektivt som solubiliseringsmiddel, befugtningsmiddel, chelateringsmiddel (kompleksdannende middel) og polyvalent maskeringsmiddel. På grund af sin fremragende biokompatibilitet og sikkerhedsprofil anvendes Sulfobutyl beta-cyclodextrin 182410-00-0 bredt i injicerbare, orale, nasale og oftalmiske farmaceutiske formuleringer.
Som et vigtigt modificeret produkt afledt af beta-cyclodextrin er Sulfobutyl beta-cyclodextrin 182410-00-0 uafhængigt udviklet og fremstillet af vores virksomhed. Sulfobutyl beta cyclodextrin 182410-00-0 bruges hovedsageligt som et farmaceutisk hjælpestof i nitrogenholdige lægemiddelformuleringer og avancerede injicerbare præparater.

Xi'an Deli Biochemical Industry Co., Ltd. er en professionel producent med speciale i forskning, udvikling og produktion af cyclodextriner og cyclodextrinderivater. Etableret i 1999, Xi'an Deli Biochemical Industry Co., Ltd. har over 20 års fremstillingserfaring inden for farmaceutiske hjælpestoffer og betjener globale farmaceutiske, veterinære og kemiske markeder.
Xi'an Deli Biochemical Industry Co., Ltd. fokuserer på cyclodextrinprodukter af farmaceutisk kvalitet, herunder Sulfobutyl beta-cyclodextrin 182410-00-0 og Hydroxypropyl Betadex. Alle produkter er produceret under et strengt kvalitetsstyringssystem og overholder internationale farmakopékrav som USP og EP.
For Sulfobutyl beta cyclodextrin 182410-00-0 driver Xi'an Deli Biochemical Industry Co., Ltd. stabile produktionslinjer i kommerciel skala. Den enkelte batch-produktionskapacitet når op til 2,5 tons, med en årlig produktionskapacitet på over 200 tons. Dette sikrer pålidelig forsyning til både klinisk udvikling og kommerciel farmaceutisk fremstilling.
Xi'an Deli Biochemical Industry Co., Ltd. yder fuld teknisk og regulatorisk support, herunder COA, MSDS, stabilitetsdata og formuleringsassistance. Gratis prøver er tilgængelige til evaluering, og globale forsendelsestjenester understøtter internationale kunder.

CAS-nr.: 182410-00-0
Standard: EP / USP
Molekylformel: C42H70-nO35·(C4H8SO3Na)n
Specifikation: 500 g/pose; 1 kg/pose; 10 kg/pose eller tromle
Kategori: Farmaceutisk hjælpestof
Opbevaring: Forseglet, tør konservering
Holdbarhed: 36 måneder
Sulfobutyl Ether Beta Cyclodextrin Pulver Injicerbar Farmaceutisk Hjælpestof
Betadex Sulfobutyl Ether Sodium CAS NO 182410-00-0
Sulfobutyl Ether Beta Cyclodextrin Natrium
Betadex Sulfobutyl Ether Sodium Injection Grade
Betadex Sulfobutyl Ether Sodium SBECD injicerbar kvalitet til lægemiddelformuleringer
Betadex Sulfobutyl Ether Natrium CAS 182410-00-0