Betadex sulfobutylether-natrium (SBE-p-CD)-Pharma-kvalitet Cyclodextrin Excipient-CAS 182410-00-0. Forbedrer opløselighed, stabilitet og biotilgængelighed.
	 
 
	
Betadex sulfobutylether natrium (SBE-ß-CD)-Pharma Grade Cyclodextrin Excipient-CAS 182410-00-0
	
Udseende: Hvidt pulver, sød, insipid og uskyldig
	
Holdbarhed: 36 måneder
	
Karakter: Injektionskvalitet
	
Anvendelse: Pharmaceuticals Feild
	
Standard: USP, Ep
	
Opløselighed: ≥100 (25 ℃, G/100 ml)
	
Heavy metal: ≤0,0025%
	
Reduktion af sukker: ≤0,05%
	
	
Sulfobutylether-p-cyclodextrin farmaceutisk excipient kan ikke kun øge lægemiddelopløseligheden, forbedre lægemidlets stabilitet og sikkerhed, det kan reducere stimuleringen til indsprøjtningsstedet for administration, lægemidlet når hurtigt den krævede blodkoncentration, forlænger tiden for lægemiddelhandlingen.
	
Intranasalt lægemiddel, der har hurtig absorption, hurtig skuespil, høj biotilgængelighed, praktisk administration, let at blive accepteret af patienter og kan undgå leverens første pasningseffekt og andre fordele, er blevet en af hotspots i farmaceutisk forskning. På grund af lav penetration af nasale medikamenter kan mange enzymer i næsehulen imidlertid forårsage nedbrydning og næseadhæsion.
	
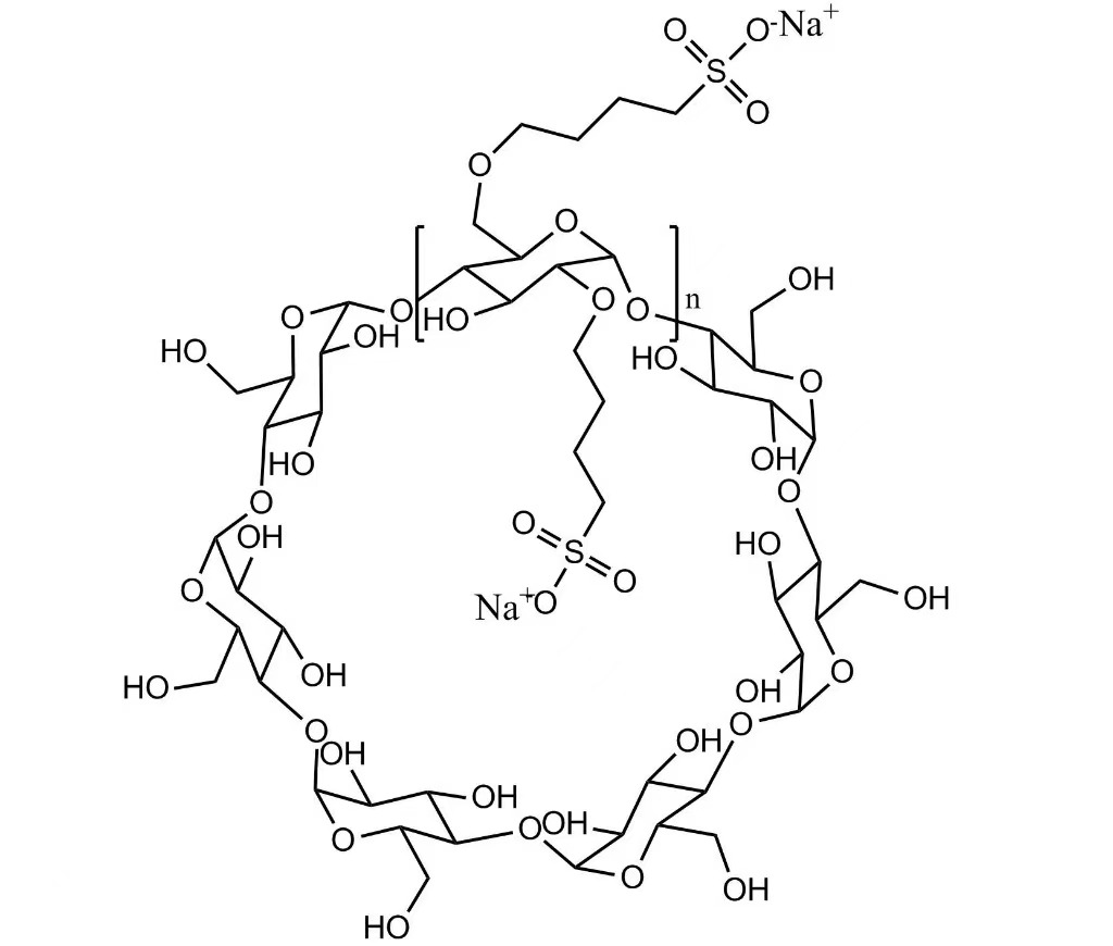
Sulfobutylether-p-cyclodextrin farmaceutisk excipient er et natriumsalt produceret, når Betadex alkyleres med 1,4-butansulfonsyre-lacton under alkaliske forhold. Det er en anion, meget vandopløselig Betadex-derivat. Sulfobutylether-ß-cyclodextrin farmaceutisk excipient kan kombineres godt med lægemiddelmolekylerne til dannelse af ikke-kovalent og derved øger stabiliteten, vandopløseligheden og sikkerheden af lægemidlet, reducerer dets nyretoksicitet, letter medikamenthemolyse, kontrollerende lægemiddelfrigørelseshastighed, dækker dårlig lugt osv.
	
	
	 
 
	
Xi'an Deli Biochemical Industry Co., Ltd. er en højteknologisk virksomhed med speciale i forskning og udvikling, produktion og salg af cyclodextrin og dets derivater.
Siden etableringen den 27. august 1999 har virksomheden overholdt kvalitetspolitikken med "at fokusere på tilbehør, kvalitet først, oprigtig service, stræber efter førsteklasses". Efter mere end 20 års hårdt arbejde og udvikling har virksomheden i øjeblikket produkter Deli Brand Hydroxypropyl Betadex, Deli -brand Betadex Sulfobutylether Sodium. Ovenstående produkter er registreret og arkiveret til FDA.
	
	